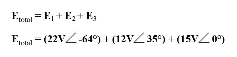
Graphic addition of vector voltages.

setup for equation to find total voltage